中文
作者:大泉流量计 来源:本站 日期:2019-12-18 09:48:51 人气:389
摘要简述电磁流量计的发展历史和目前国内外现状,针对国内目前测量泥浆、纸浆等液固两相导电性流体和低导电率流体流量存在泥浆干扰和流动噪声等实际问题,尝试采用双频矩形波励磁以提高电磁流量传感器的信噪比,并利用单片机硬软件技术实现其智能化功能.着重介绍此种新型电磁流量计的工作原理、特点、硬软件组成。
1.双频矩形波励磁电磁流量计的特点
众所周知,电磁流量计是利用法拉第电磁感应定律而制成的体积流量测量仪表,具有一系列独特的优点,广泛应用于现代工业各个部门.近十几年来,随着微电子技术的飞速发展,电磁流量计励磁技术、信号处理技术、传感器结构、新型材料和元器件的应用都取得长足的进步(详见作者论文“电磁流量计励磁技术的发展历史、现状和发展趋势”).目前国外以低频矩形波励磁技术结合微处理器技术的电磁流量计产品具有高零点稳定性、高精度、高可靠性、小型轻量一体化智能化多功能化等主要特征,成为工业自动化流量仪表中的主导产品之一。
虽然采用低频矩形波励磁技术能够显著提高电磁流量计的性能,然而对于测量液固两相导电性流体和低导电率流体流量却存在突出问题,引起国内外流量测量界的关注.例如低频矩形波励磁型电磁流量计在测量泥浆、纸浆等液固两相导电性流体和低导电率流体流量时,仪表输出出现摇摆,甚至得不到稳定的输出(如图1(c)所示),为此,往往采用流量率限制方法和选择合适的励磁频率方法加以解决,因此降低了电磁流量计的响应速度,对工业自动化生产中快速流量和脉动流量测量极为不利.产生这种现象的原因之一是当测量泥浆、矿浆等液固两相导电性流体流量时,固体颗粒擦过电极表面导致电极的接触电势突然变化,电磁流量传感器输出信号出现尖峰状脉冲,从而导致低频矩形波励磁电磁流量计输出摇摆.原因之二是当测量低导电率(100us/cm以下)流体流量时.电极的电化学电势定期变动,产生幅值随频率成反比的噪声即1/f噪声,前者称为泥浆干扰,后者称为流动噪声,这两种干扰都具有1/f的特性如图1(a)所示.要使电磁流量传感器对这种噪声不敏感,必须提高励磁频率,才能提高传感器输出信号的信噪比,提高励磁频率,必然要牺牲仪表的零点稳定性.另外,近十几年来采用低频矩形波励磁方式,提高仪表的抗干扰能力,降低励磁功耗,提高励磁功率的经济性,明显地表现在单位流速下的电磁流量传感器输出信号电势下降,目前低频矩形波励磁型电磁流量传感器单位流速信号电势在0.2~0.4mV/m/s.为了进一步降低励磁功率,进一步实现传感器的小型化轻量化,必须降低单位流速信号电势,如果单位流速信号电势比现有技术降低一个数量级,则泥浆干扰和流动噪声的影响将明显增大,为了减少此种干扰的影响,必须采用较高频率的矩形波励。

综合上述分析,要保证电磁流量计的零点稳定性,最好采用低频矩形波励磁;为了能较准确地测量液固两相导电性流体和低导电率流体的流量,进一步降低励磁功耗,进一步实现传感器小型轻量一体化.又必须采用较高频率的矩形波励磁,牺牲电磁流量计的零点稳定性.

为了解决零点稳定性和响应速度、抗干扰能力这一突出矛盾,最佳方案是采用双频矩形波调制励磁的方法,使电磁流量计既具有低频矩形波励磁的零点稳定性较好,又具有高频矩形波励磁降低泥浆干扰和流动噪声的数量级,获得仪表的快速响应速度,同时也进一步降低励磁功耗,提高电磁流量传感器输出信号的信噪比,以实现传感器更加小型轻量一体化。

2双频矩形波励磁电磁流量计的工作原理
所谓双频矩形波励磁即使高频矩形波电压调制到低频矩形波电压上,形成调制矩形波励磁电源.然后将此电源给电磁流量传感器励磁绕组供电,在励磁绕组中形成类似调制波形的励磁电流,从而在电磁流量传感器中形成类似调制波形的励磁磁场.当流体流经电磁流量传感器时,则在传感器的电极两端输出流量信号,经前置放大器和直流放大器放大后,将信号电压按各自的高频和低频定时采样流量信号电压,分别进行数字解调、数字滤波后,将两个运算后的电压值合成输出流量信号,双频矩形波励磁电磁流量计工作原理如图2所示。
由于高频、低频调制矩形波的频率较低,忽略电磁流量传感器励磁绕组的分布参数的影响,励磁绕组可以近似等效成RI.串联电路,且传感器磁路系线性磁路,因而励磁电流是类似

的双频调制的矩形波,传感器磁通密度也是类似于励磁电流的波形,传感器输出信号电压也是类似的双频调制矩形波波形,经高频侧和低频侧分别进行信号处理.
在高频侧,流量信号电压经高频采样,(A/D),转换器,输入CPU的信号电压成分V1,干扰电压成分Nu,经数字解调,高通数字滤波器输出:

式中”是高通数字滤波器的时间常数。
在低频侧,流量信号电压经低频采样,(A/D)L转换器,输入CPU的信号电压成分V.,干扰电压成分NL,经数字解调、低通数字滤波器输出:

其中设计低通数字滤波器的时间常数和高通数字滤波器的时间常数一致。
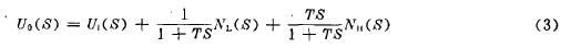
一般而言,输入的流量信号电压U,(8)与高频、低频矩形波的频率相比变化缓慢,可以认为Uu(5)=V(S)=V:(S)成立,CPU将高频侧输出电压和低频侧输出电压合成则得

由于泥浆干扰和流动噪声具有1/f的特性,高频矩形波励磁时,干扰成分Nu(S)数量级低,因此(3)式中的第3项
可以忽略;另外.将数字滤波器的时间常数T选择足够大,则(3)式中的第2项
变得非常小,以至忽略,从而合成输出Uo(s).

正确再现了输入的流量信号而消除了泥浆干扰的影响.
综合上述分析,电磁流量计在低频矩形波励磁时,从(2)式可知,为了削弱干扰噪声的影响,时间常数必须设计得非常大,不能同时获得既对流量信号有阻尼作用,又有快速响应的电磁流量计输出,因此在低频矩形波励磁时,以牺牲电磁流量计的响应速度为代价,获得较好的零点稳定性.然而采用双频矩形波调制励磁方式时,高频矩形波励磁(1)式的第1项获得流量
信号的变化率(微分流量信号)与低频矩形波励磁(2)式的第1项流量信号的平均值(积分流量信号)合成输出作为电磁流量计输出.因此双频矩形波励磁电磁流量计在流量变化时,用快速响应的高频矩形波励磁输出;在流量稳定时,用低频矩形波励磁输出.由于低频矩形波励磁电磁流量计具有优良的零点稳定性,则合成输出也具有良好的零点稳定性,获得了电磁流量计零点稳定性和响应速度、抗干扰能力的最佳统一.
3双频矩形波智能电磁流量计的硬件组成
双频矩形波智能电磁流量计硬件部分由电磁流量传感器,前置放大器,直流放大器,励磁主电路,励磁驱动电路,采样保持器,模数转换器,intel8031单片机系统,供电电源组成,整机硬件构成如图3所示.由intel8031CPU执行固化在EPROM中的系统软件完成励磁电路控制、高频侧和低频侧的信号电压采集、数字解调、数字滤波、数字显示、键盘定时扫描及分析处理、功能及参数设定等多种功能.

3.1传感器
电磁流量传感器采用聚四氟乙烯作衬里材料,内插式电极结构,集中同心式绕组,使用0.5mm厚硅钢片叠成磁辄,磁极采用铸钢焊在测量管上,整个传感器利用铸铝件构成静电屏蔽罩.显然,由于磁路气隙较大,铁芯不饱和,是线性化磁路.另外励磁绕组用高强度聚酯漆包线绕制而成,经烘干、绝缘处理,具有一定的绝缘电阻.由于励磁矩形波频率较低,在忽略分布参数影响下,励磁绕组可以等效成RL串联电路,乙=W2Aa,L为励磁绕组电感,W为励磁绕组匝数,Am为磁路的磁导.
3.2励磁电路
励磁电路由励磁主电路和励磁驱动电路组成.励磁主电路采用开关元件构成如图4(a)所示.4、Qa是高频励磁开关,Q2、Q是低频励磁开关,其中Q1、Q2为正向励磁开关组,Q3、Q,为负向励磁开关组,励磁驱动电路由intel8253定时器构成程控脉冲源、脉冲分配器、单稳触发器、光电耦合器等部分构成,其驱动脉冲输出信号电压US1、US2、US3、US4、励磁电压U12以及励磁电流I的波形如图4(b)所示.


3.3前置放大器
电磁流量传感器输出电势信号微弱,内阻抗较高,而且工作在具有较强的共模干扰电压背景下,因而要求前置放大器具有高输入阻抗、高CRMM、高增益、低漂移、低噪声等特点.本仪器中采用四片集成运算放大器构成仪用放大器,且采用输入保护技术和共模电压自举技术,提高CRMM,第一级采用JFET高输入阻抗运放,第二级采用高CRMM、低漂移运放,并精心匹配电阻,实际使用效果较好.
3.4采样保持器、模数转换器和单片机系统
双频矩形波智能电磁流量计中流量信号电压按高频率f1、低频率f.两种采样频率分别进
行数据采集,为了提高抗工频干扰的能力,采用宽脉冲采样,高频采样脉宽为工频的1/4周期,低频采样脉宽为工频的2倍周期,且高频侧和低频侧两个通道对同一个流量信号采样,分别加以数字处理,最后合成输出,整个信号的采集、处理和控制由intel803lCPU执行固化在EPROM中的系统软件完成.
4双频智能电磁流量计的系统软件设计
双频矩形波智能电磁流量计系统软件采用自上而下的构思,模块化的软件结构.系统软件主要由主程序、中断服务程序模块、功能子程序模块等组成,完成系统的自检、系统初始化、励磁频率和脉冲的控制、数据采集、数字滤波、数字解调、数字显示、标度变换、功能键扫描、功能健分析及控制、通信控制等多种功能.下面着重介绍主程序和中断数据采集及处理程序模块.
4.1主程序设计
主程序主要完成系统的自检、系统初始化、启动程控脉冲源、清理内存单元、设置软件标志、处理键盘命令、处理接口命令、处理条件触发并完成数字显示等功能.

4.2中断服务程序模块
中断服务程序模块采用intel8253定时计数器5ms定时中断,完成中断数据采集和处理程序功能,程序模块包括高频数据采集子程序、低频数据采集子程序、高频数字解调子程序、低频数字解调子程序、高通滤波子程序、低通滤波子程序、中值滤波子程序.此中断服务程序模块是双频矩形波励磁电磁流量计的核心软件,整个中断数据采集和处理程序流程如图5所示.
5双频矩形波励磁电磁流量计抗干扰技术
双频智能电磁流量计工作在生产流程现场,必须具有较强的抗干扰能力,必须采取相应的硬件和软件抗干扰措施,具体抗干扰方法笔者另文论述.
6结束语
实验研究表明,双频矩形波励磁智能电磁流量计在工作原理和功能上都较过去的电磁流量计有很大提高,尤其是在零点稳定性和响应速度、抗干扰能力获得最佳的统一,对测量液固两相导电性流体和低导电率流体流量以及脉动流量具有独特的功能,有着广泛的应用前景.